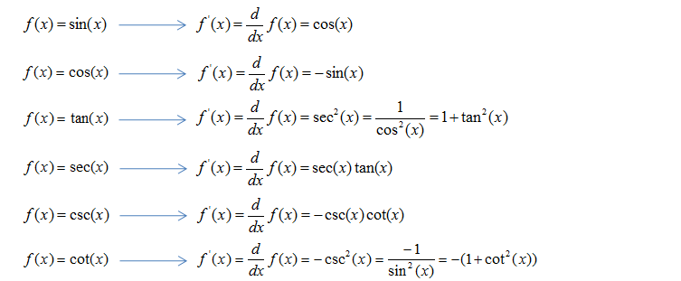
Derivatives Of Trigonometric Functions
Table Of Derivative And Integration Trp Yahoo Image Search
Derivatives Of Inverse Trigonometric Functions
1 Stability Derivatives Download Table
Http Courses Washington Edu Engr100 Me230 Integral 20and 20derivative Pdf
Derivative And Anti Derivative Sheet For Those Who Need A Quick
Worked Example Chain Rule With Table Video Khan Academy
Worked Example Chain Rule With Table Derivative Rules Ap
Table 2 From On Explicit Two Derivative Runge Kutta Methods
Derivatives And Integrals Mathematical Table
Derivative Table For Android Apk Download
Solved Table Of Derivatives Of Inverse Trigonometric Func
Worked Example Product Rule With Table Derivative Rules Ap
Table Of Derivatives Math Posters Math Poster
Http Courses Washington Edu Engr100 Me230 Integral 20and 20derivative Pdf
Comparison Of Derivative Estimates All Quantities In Si Units
Table Derivatives Stock Vector Royalty Free 603853700
Http Courses Washington Edu Engr100 Me230 Integral 20and 20derivative Pdf
Approximating Partial Derivatives Using A Table Youtube
Reference Cram Sheets Table Of Derivatives Teaching Resources
2 1 11 12 2 Chapter 2 Differentiation Of Functions
Finding Out The Derivatives Through Table Values Mathematics
Analytical Estimations Of Stability Derivatives With Non Zero
Apply Chain Rule And Use Table Of Values To Evaluate Function Of
Table Of Derivatives Differential Calculus Differential Calculus
Quotient Rule With Tables Practice Khan Academy
Estimating Derivative And Integral From Data Table Mathematics
Derivatives Of Inverse Functions From Table Video Khan Academy
2 1 3 Estimating Derivatives From A Table Youtube
Solved Use The Following Table To Determine The Indicated
Finding Inverse Trig Derivatives Krista King Math Online Math
Derivative Table By Dicapps Education Category 317 Reviews
Table Of Function Derivative Evaluation Mathematica Stack Exchange
Derivatives Of Trigonometric Functions Web Formulas
Derivative Problems From Data In A Table Youtube
Table Of Derivatives Antiderivatives
Derivative Formula Of Trigonometric Functions
Http Courses Washington Edu Engr100 Me230 Integral 20and 20derivative Pdf
2 1 11 12 2 Chapter 2 Differentiation Of Functions
Calculus Inverse Trig Derivatives Solutions Examples Videos
Derivative Table Education Subject
Table 2 From Efficient Partial Determination Of Derivative
Solved Estimate The Derivative From The Table Of Average
Current Exposure Methodology What You Need To Know
The Table Method For Derivatives
The Root Of The Derivative Of Bessel Function Download Table
Solved If F X And G X Are Differentiable Functions With
Function Sign Table Complete With First And Second Derivative
Table 3 From Efficient Partial Determination Of Derivative
Table Derivatives Stock Vector Royalty Free 603853700
Derivative Products From Lidar Bathymetry Download Table
Table Of Derivative And Integration Trp Yahoo Image Search
Derivative Rules Using A Table Fall Riddle By Math Cat Store Tpt
Derivative As A Limit Numerical Video Khan Academy
Unit 18 10 Partial Derivatives From Table Data Youtube
Solved Table Here Is A Small Table Of Laplace Transforms
1 Dem Derivatives And Their Application Download Table
File Basic Derivatives Jpg Wikimedia Commons
Table 1 From Towards Automating The Generation Of Derivative Nouns
Ap Calculus How To Find Derivative From Table Youtube
7 5 Partial Derivatives With Respect To T P And V
Free Printable Integral Table And Derivative Sheet Pdf From
Taylor Table Method For Second Order Derivative Projects Skill
Https Secure Media Collegeboard Org Digitalservices Pdf Ap Ap16 Calculus Ab Q6 Pdf
1 Derivatives Of Neural Crest Cells Download Table
Solved Using The Table Of Values For A Function Z F X
Unit 18 10 Partial Derivatives From Table Data Youtube
Table 1 From Do Nonfinancial Firms Use Interest Rate Derivatives
Central Bank Survey Of Foreign Exchange And Derivatives Market
Solved The Table Shows Some Values Of The Derivative Of A
Descriptive Statistics Non Derivative Users Download Table
Derivative Table By Dicapps Education Category 317 Reviews
Calculus 2 8 Approximating The Derivative From A Table Youtube
Derivative As A Limit Numerical Video Khan Academy
Representations And Levels Of The Concept Derivative Download Table
Amazon Com Derivative Table Appstore For Android
Derivative And Integral Table Math Physics Math Equations
Derivatives Of Hyperbolic Functions
Calculus Table View Of Second Derivative Math Open Reference
Solved Estimate The Derivative From The Table Of Average
Containing Values Of Differentiable Functions And Their Derivatives
Copyright C Cengage Learning All Rights Reserved 14 Partial
Estimating Derivatives From Tables Exercises
Cochranmath Derivatives And Their Applications
Table Of Derivative And Integration Trp Yahoo Image Search





0 Response to "Derivative Table"
Post a Comment